Programación del miércoles 30 de septiembre para Segundo de Secundaria.
ESPAÑOL
Navegando por la literatura
Aprendizaje esperado: Selecciona, lee y comparte cuentos o novelas de la narrativa latinoamericana contemporánea.
Énfasis: Consultar fuentes literarias sobre la narrativa latinoamericana.
¿Qué vamos a aprender?
Conocerás dónde y cómo puedes encontrar y consultar fuentes literarias de la narrativa latinoamericana contemporánea tanto para realizar investigaciones, buscar materiales, o simplemente, para disfrutar de una buena lectura.
Asimismo, identificarás y reconocerás las características de las bibliotecas.
Las bibliotecas, muchas veces se encuentran cerca de donde vives, aunque muchas otras no. Lo cierto es que, son lugares donde se concentran un gran número de libros que contienen todo tipo de conocimiento.
¿Qué hacemos?
Para iniciar, observa el siguiente video de la Biblioteca Vasconcelos, que se encuentra en la Ciudad de México.
Un día en la biblioteca Vasconcelos.
Existen bibliotecas muy grandes como ésta, también pequeñas o móviles, que van de barrio en barrio ofreciendo opciones de lectura para todos.
Responde las siguientes preguntas:
¿Alguna vez has ido a una biblioteca?,
¿De tu escuela tu barrio, o tu colonia?
¿Has encontrado alguna lectura que no puedas dejar de leer?
Es cierto que en las bibliotecas hay lecturas de cualquier tema que busques, y que pueden ser de mucha utilidad para adquirir conocimientos.
Si no has tenido la oportunidad de ir a una biblioteca, no te preocupes, nunca es tarde. Una opción que puede estar a tu alcance, son las bibliotecas digitales en Internet, ahí también podrás encontrar textos interesantes de autores latinoamericanos. También puedes acudir a los materiales de lectura como los Libros del Rincón.
Ya que conoces más sobre las bibliotecas, ahora profundizarás en las fuentes literarias.
Una fuente literaria, como su nombre indica, es un texto que puede ser una novela, una antología de cuentos, un libro de relatos, una obra de teatro, que se toma como referencia o base del tipo de búsqueda que se necesita.
Observa los diferentes tipos de fuentes que existen:

Por ejemplo, la novela más reciente de tu autora o autor favorito.

Hay muchos tipos de fuentes y éstas tienen distintas funciones. Las fuentes literarias, son Fuentes Primarias, ya que se trata de “información nueva y original, de creación propia”. En los textos literarios, quien escribe, debe usar toda su inventiva y conocimiento para crear una novela, un cuento o un libro de cuentos.
¿Y para qué sirve conocer cuáles son las fuentes literarias?


Por ejemplo, si se lee una novela de época, se puede tomar nota de cómo se vivía en ese entonces. A veces, cuando te dejan hacer una tarea en la que tienes que investigar sobre “fuentes literarias”, puede parecer fácil acudir a resúmenes o reseñas, es decir, versiones cortas de las fuentes primarias. Pero, hay que saber que esa es información sesgada, solo contiene una parte, depende del punto de vista o intereses del que la hizo, y por lo tanto, te estás perdiendo la oportunidad de leer la fuente original: sea novela, cuento o relativo, y así obtener tu propia visión, y sobre todo, la mejor información de lo que necesitas.
Es muy importante que, cuando te dejen leer una obra literaria, procures no leerla de último momento, dale su tiempo, será algo entretenido y que te ayudará a realizar mejor tus investigaciones.
La literatura latinoamericana contemporánea, es decir, la generada en los países de América Latina tienen un extenso abanico de posibilidades para poder leer.
Ahora conocerás a un autor más de esta corriente literaria, Felipe Garrido. Si te gusta su estilo de escritura, puede ser una buena opción para consultar.
Felipe Garrido, es un escritor mexicano que nació en Jalisco en 1942, es narrador, cronista y ensayista. Es, ante todo, un cuentista y uno de sus libros más celebrados es “Garabatos en el agua”; Julio Cortázar llegó a decir que los cuentos de Garrido eran fantásticos y así lo muestra, por ejemplo, con “El sapo y el fuego”. Observa el siguiente video y presta atención en este gran cuento.
El Sapo y el fuego.
Contesta las siguientes preguntas:
¿Disfrutaste la lectura?
¿En qué actividad podrías usar la fábula de “El sapo y el fuego” de Felipe Garrido?
¿Qué técnica de lectura usarías para recuperar lo más importante?
A continuación, lee el siguiente texto y observa cómo puedes elegir una fuente literaria.
¿Qué podemos leer?
Puedes elegir la obra según diversos criterios, por ejemplo; porque el título llama tu atención, porque te gustan las obras de cierto autor, porque el tema que aborda es de tu interés, por ser un texto extenso o breve, por ser cuento o novela, porque la obra fue escrita en cierta época, etcétera.

¿Cómo funciona la clasificación de los libros en las bibliotecas y cómo puedes hacer mejor tu búsqueda?
La mayoría de las bibliotecas cuentan con sistemas de búsqueda computarizada, es decir, tienen un banco de datos virtual y lo mismo sucede si ingresas por internet. Algunas de éstas, tienen material para descargar o leer en línea.
Éstas se dividen por secciones de búsqueda que varían ampliamente, pero hay tres que debes tener en cuenta al momento de buscar en una biblioteca o en internet:
Por nombre
Por título o palabra clave
Por tema, género o subgénero
Por nombre, se recomienda escribir primero el apellido y luego el nombre, ya que puede ser que un autor tenga un nombre y apellido común y te desprenda mucha información.
Por título o palabra clave: como “Las batallas en el desierto” título completo, o por las palabras “batallas” o “desierto”.
Por tema, género o subgénero, es decir: cuento, fantasía, ciencia ficción, amor, magia, lobo, Drácula.
Si no conoces a ningún autor o ningún título, pero te interesa leer algo de “terror”, puedes ingresar el tema en el motor de búsqueda, y tener opciones de las cuales elegir.
Para entender lo anterior, hay que tener en cuenta que, tanto en la biblioteca física, como en la virtual, hay formas de organizar el material. Observa el siguiente video.
Cuando Cuentes Cuentos.
https://youtu.be/mn0_IyL_omc
Las bibliotecas generales no usan la misma clasificación que las bibliotecas de aula.
Realiza la siguiente actividad para poner en práctica lo que aprendiste en esta sesión.
Reflexiona y responde lo siguiente:
¿Cuál es la respuesta correcta para cada una?

Dentro de las fuentes literarias, puedes encontrar antologías de cuentos, de crónicas, fábulas o mitos.
En algunas bibliotecas hay que llenar ciertos formatos para poder solicitar a préstamo los libros o para fotocopiarlos. Y en algunos casos, los libros no están a la mano y hay que llenar ciertas papeletas para tener acceso a ellos.
Observa un ejemplo muy sencillo de cómo podría verse una de estas papeletas de adquisición para cuando te toque hacerlo.
Los datos que puede contener son: escuela, grado, grupo, fecha de préstamo, nombre del alumno, título del libro, nombre del autor, entre otros datos que la biblioteca requiere

A continuación, lee los siguientes fragmentos de obras de varios autores, con el fin de que los disfrutes y tus fuentes literarias crezcan.
El juguete rabioso
(fragmento)
“¿No es una injusticia, digan ustedes, no es una injusticia? Yo no soy un chico. Tengo dieciséis años, ¿por qué me echan? Iba a trabajar a la par de cualquiera, y ahora…
¿Qué dirá mama? ¿Qué dirá Lila? Ah, si ustedes la conocieran. Es seria: en la Normal saca las mejores calificaciones. Con lo que yo ganara comerían mejor en casa. Y ahora, ¿qué voy a hacer yo…?
Roberto Arlt
La semana de colores
(fragmento)
“Y me miró. Antes, nunca me había mirado. Yo la miré. Estaba a horcajadas sobre la rama del árbol, como otra persona que no fuera yo misma. Me sorprendieron sus cabellos, su voz y sus ojos. Era otra. Sentí vértigo. El árbol se alejó de mí y el suelo se fue abajo. También ella desconoció mi voz, mis cabellos y mis ojos. Y también tuvo vértigo.”
Elena Garro
Los relámpagos de agosto
(fragmento)
“Cuando se dio cuenta de que no había esperanzas para ese lado, decidió hablarme con franqueza: -Mire, general, yo sé que usted es un hombre de razón: comprenda que, si mete usted en la cárcel a seis y les exige un rescate global, los familiares van a querer que pague el que parece más rico, que es mi marido. Pídale cien mil pesos a cada uno y amenaza con fusilar al que no pague y verá como mañana tiene el dinero.”
Jorge Ibargüengoitia
Es tu turno para localizar tus propias fuentes literarias. Recuerda que puedes preguntarle a tus familiares o amigos, si es que conocen alguna otra biblioteca digital que les recomienden o si tienen algún cuento, novela u obra de teatro en versión electrónica que les puedan compartir.
En esta sesión, aprendiste un poco sobre la literatura latinoamericana, y los lugares donde puedes consultar cuentos y novelas de las escritoras y escritores que tu desees.
No olvides que en tu libro de texto Lengua Materna, segundo grado, puedes encontrar obras de la narrativa latinoamericana contemporánea.
Y recuerda a Emily Dickinson y su poema:
“Para llevarnos a tierras lejanas, no hay mejor fragata que un libro”.
El Reto de Hoy:
De las tres lecturas finales:
¿Cuál buscarías para leer en su totalidad?
Comparte con tu familia las lecturas y comenten cuál les gustaría leer completa y por qué.
MATEMÁTICAS
Proporcionalidad inversa y su expresión general
Aprendizaje esperado: Resuelve problemas de proporcionalidad directa e inversa y de reparto proporcional.
Énfasis: Diferenciar el tipo de proporcionalidad (directa e inversa) que representa una situación a partir de la forma en que varía, y reconocer la expresión general de una relación de proporcionalidad inversa.
¿Qué vamos a aprender?
Reconocerás cómo diferenciar los tipos de proporcionalidad, directa o inversa que representa una situación, a partir de cómo se relacionan las variables a través del registro de datos en tablas. Profundizarás en la relación de proporcionalidad inversa.
Además, analizarás y resolverás algunos problemas de proporcionalidad directa para diferenciarla de la proporcionalidad inversa.
¿Qué hacemos?
Para comenzar con la sesión, revisa el siguiente planteamiento:
Ejercicio 1. Los limones.
En un negocio de jugos quieren saber, ¿cuánto deben pagar por 1, 2, 3, 4, y 5 kilogramos de limones?
Observa la siguiente tabla, en la cual se registra el precio que se pagaría por 1, 2, 3, 4, y 5 kg de limones.

Ahora, responde la siguiente pregunta:
¿Qué tipo de proporcionalidad observas entre los datos de la tabla? ¿Por qué?
Analiza la situación para determinar si corresponde a una relación de variación proporcional directa, o bien, si es un ejemplo de variación proporcional inversa.
Al observar con detenimiento la tabla, es posible establecer la relación que existe entre un kilogramo de limones y el precio de 28.5 pesos, que se paga por ellos; por dos kilogramos se pagan 57 pesos, por tres kilogramos se pagan 85.5 pesos.
Lo que significa que, a mayor cantidad de kilogramos de limones comprados, es mayor la cantidad de pesos por pagar. Esto es, las cantidades relacionadas: masa y precio, o bien, sus correspondientes unidades que son kilogramos y pesos aumentan en la misma proporción; esta es una propiedad de la proporcionalidad directa.
Para comprobar que se trata de una relación de proporcionalidad directa, es importante calcular cuánto se paga por 1, 2, 3, 4 y 5, kilogramos.
Una manera de justificar la proporcionalidad directa es verificando la igualdad entre cada una de las razones, dividiendo cada uno de los valores, es decir, el precio en pesos entre su respectiva masa expresada en kilogramos; como se muestra a continuación:

De acuerdo con los datos de la tabla anterior, se establecen las siguientes expresiones aritméticas en forma de razón, es decir, la relación del precio de los limones entre la masa en kilogramos. Por lo tanto:
Para la primera razón o relación, se tienen veintiocho punto cinco entre uno, que es igual a veintiocho punto cinco.
Para la segunda razón o relación, se tienen cincuenta y siete entre dos, que es igual a veintiocho punto cinco.
Para la tercera razón o relación, se tienen ochenta y cinco punto cinco entre tres, igual a veintiocho punto cinco.
Para la cuarta razón o relación, se tienen ciento catorce entre cuatro, que es igual a veintiocho punto cinco.
Para la quinta razón o relación, se tienen ciento cuarenta y dos punto cinco entre cinco, que es igual a veintiocho punto cinco.
En todas estas relaciones se obtuvo el mismo resultado. El 28.5 representa el valor de la unidad. Es decir, corresponde al precio de un kilogramo. A este resultado se le llama constante de proporcionalidad.

En el planteamiento:
“x” es la cantidad de kilogramos de limones.
“y” es el costo por pagar en pesos
“k” es la constante de proporcionalidad
Entonces, se establece que cuando se divide cada uno de los costos de limones “y”, entre su correspondiente masa “x” de la tabla, obtendrás a la constante de proporcionalidad “k”, con un valor de 28.5, Por lo que:
“y” entre “x” es igual a la constante de proporcionalidad “k”
Se sustituye el valor de “k” por veintiocho punto cinco y queda la expresión “y” entre “x” igual a veintiocho punto cinco.

Ahora, se despeja la literal “y”
Se retoma la expresión, veintiocho punto cinco es igual a “y” entre “x”. Se despeja “y”, es decir, dejarás sola a la literal “y”.
Como “x” está dividiendo a “y”, ahora pasará al otro lado del signo igual, multiplicando a veintiocho punto cinco.
Por lo tanto, queda la expresión:
“y” igual a veintiocho punto cinco por “x”.
La expresión representa una relación de proporcionalidad directa, entre el costo de los limones y la cantidad de kilogramos vendidos, esto es “y” es igual al producto de 28.5 por el valor de “x”.

Por ejemplo: ¿cuánto se pagará por 20 y 30 kilogramos de limones?
Para calcular el resultado, partirás de la expresión de proporcionalidad directa “y” igual a veintiocho punto cinco por “x”.
Después, se sustituye el valor de “x” en la expresión, por lo tanto, tienes que la expresión “y” es igual a veintiocho punto cinco por veinte. Multiplicando estos valores, obtendrás el producto que es quinientos setenta.
y= 28.5 (20)
y = 570
¿Qué significa este valor?
Significa que, por 20 kilogramos de limones se pagarán 570 pesos.
¿Cuánto se pagará por 30 kilogramos de limones?
Para calcular el resultado, se parte de la expresión de proporcionalidad directa “y” igual a veintiocho punto cinco por “x”. Después, se sustituye el valor de “x” en la expresión, por lo tanto, la expresión es igual a veintiocho punto cinco por treinta, multiplicando estos valores, se obtiene el producto de ochocientos cincuenta y cinco.
¿Qué significa este valor?
Significa que, por 30 kilogramos de limones se pagarán 855 pesos.
y = 28.5 (30),
y = 855
Con estos ejemplos, analizaste la resolución de situaciones-problema de proporcionalidad directa para que puedas diferenciarla de la proporcionalidad inversa.
Ahora vas a analizar y resolver una situación de proporcionalidad inversa, y trabajar con su correspondiente expresión algebraica.
Ejercicio 2. La excursión.

Se identifica a la variable independiente, representada con la literal “x”, en este caso corresponde a la cantidad de estudiantes, porque en relación con el número de asistentes, será el costo por pagar de cada uno. Este último representa la variable dependiente, representada por la literal “y”.
Después, se ordenan los datos como se indica en la tabla y se multiplica (la cantidad de estudiantes) por (el costo por cada estudiante).
En todas las multiplicaciones se obtiene el mismo resultado. Es decir: 420. A esta constante se le llama la constante de proporcionalidad.
¿Qué representa el resultado de las multiplicaciones realizadas en el contexto?

Para calcular el valor de “y”, se utiliza la expresión “y” igual a cuatrocientos veinte entre “equis”, ahora debes sustituir el valor de “equis” en la expresión. Por lo tanto, ahora la expresión es igual a cuatrocientos veinte entre treinta, dividiendo, se obtiene como cociente catorce.
¿Qué significa este valor?
Significa que, por 30 estudiantes que asistan a la excursión el boleto costará 14 pesos.
A continuación, aplica lo aprendido y resuelve el siguiente problema.
Ejercicio 3. El ciclista.
Un ciclista realizó un recorrido en su bicicleta, en los primeros tres cuartos de hora (cuarenta y cinco minutos) alcanzó una rapidez de cien kilómetros por hora, pero posteriormente su rendimiento fue descendiendo.
Su entrenador registró los tiempos y la rapidez alcanzada en la tabla de recorrido.


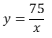
Ahora, despeja la literal “y”.

¿Qué significa este valor?
Significa que, en el recorrido de 75 km en un tiempo de 2 horas el ciclista alcanzó una rapidez de 37.5 kilómetros por hora.
Aplicando lo aprendido, realiza el siguiente ejercicio y completa la siguiente tabla de proporcionalidad:
Ejercicio 4. Los rectángulos.
Observa esta tabla, en donde se indican parte de las medidas de tres rectángulos. Uno de ellos, el rectángulo R1 tiene como base 8 cm y 3 cm de altura.


¿Cuál es la media de la base (x) del rectángulo R2?

Para calcular la medida de la base del rectángulo R2, utilizarás la expresión “y” igual a veinticuatro entre “x”, ahora deberás sustituir el valor de “y”, que representa la altura del rectángulo en la expresión, es decir, y=4, queda cuatro igual a veinticuatro entre “x”.
Paso 1: Despejarás la “x”, es decir, dejar a la “x” sola con respecto al signo igual, como está dividiendo al veinticuatro pasara multiplicando con el cuatro y queda la expresión cuatro “x” igual a veinticuatro.
Paso 2: Para que la “x” quede sola pasaras el número cuatro a la derecha del signo igual, como está multiplicando con “x” ahora va a pasar dividiendo con el veinticuatro entonces, queda la expresión “x” igual a veinticuatro entre cuatro, al dividir las dos cantidades obtendrás como cociente 6.
¿A qué corresponde este valor? Corresponde al valor de la base del rectángulo dos (R2).

Calcula la altura del rectángulo 3 cuando la medida de la base, es decir x=2, utilizarás la expresión “y” igual a veinticuatro entre “x”, ahora deberás sustituir el valor de “x”, por lo tanto, la expresión queda “y” igual a veinticuatro entre dos, dividiéndolas dos cantidades, veinticuatro entre dos el resultado obtenido es doce.
¿A qué corresponde este valor?
Corresponde al valor de la altura del rectángulo tres (R3).
En conclusión:
¿Qué tipo de proporcionalidad observaste al relacionar a los datos de la tabla, es decir, qué sucede con la medida de la base de los tres rectángulos?
¿Qué sucede con la medida de la altura? ¿Por qué?
Puedes afirmar que se tiene una proporcionalidad inversa, ya que al disminuir la base aumenta la altura o al disminuir la altura aumenta la base, porque aritméticamente al multiplicar las relaciones de cada rectángulo el producto es veinticuatro.
A continuación, practica para seguir avanzando en tu aprendizaje.
Problema 1. Retoma el problema del ciclista:

Recuerda que esta expresión algebraica se representa de la siguiente manera:

La relación de variación proporcional inversa, es decir cuando aumente el tiempo, la rapidez disminuirá de manera proporcional.
Ahora el entrenador ha desafiado al ciclista a un nuevo reto, como parte de su entrenamiento, desea saber:
¿Qué rapidez alcanzará el ciclista en cuatro horas?
Anota todas las operaciones y responde a la pregunta anterior.
Ahora resuelve otro problema.
Problema 2. Completa la siguiente tabla con todo lo que has aprendido hasta el momento.

En esta clase reconociste cómo diferenciar una variación de proporcionalidad directa de otra llamada variación de proporcionalidad inversa, con base en el análisis de la correspondencia y variación entre los datos de las magnitudes que se presentan en una situación problema.
La constante proporcionalidad inversa está definida por la expresión k igual a “x” por “y”. Con esta expresión se puede encontrar el valor de las variables relacionadas en una situación de proporcionalidad inversa, y se expresan como:
“y” igual a “k” entre “x” ó “x” igual a “k” entre “y”, es decir son inversamente proporcionales.
El Reto de Hoy:
Pon a prueba lo aprendido hasta ahora, resolviendo algunas de las actividades de proporcionalidad directa a inversa contenidas en tu libro de texto de matemáticas.
HISTORIA
Aportaciones culturales de los pueblos indígenas
Aprendizaje esperado: Conoce algunos aspectos de los pueblos indígenas de nuestro país, por ejemplo, cuántos y cuáles son los grupos étnicos que coexisten en nuestro territorio, dónde están asentados, así como su situación económica y política.
Énfasis: Valorar las aportaciones de los pueblos indígenas a la vida cultural de México y el mundo.
¿Qué vamos a aprender?
Identificarás aspectos y características de los pueblos indígenas que se encuentran en nuestro país. Además, reconocerás personajes y valorarás las aportaciones de los pueblos indígenas.
En la sesión pasada conociste, cuáles y cuántos son los pueblos indígenas, dónde se encuentran ubicados, las lenguas indígenas que más se hablan, cuales están en riesgo, entre otros aspectos importantes.
El tema que atañe en esta ocasión, son las culturas originarias de nuestro país, y su contribución a la vida cultural de México y el mundo.
¿Qué hacemos?
Para iniciar, lee con atención el siguiente poema, titulado “Entre oros y espejos”, del escritor maya Jorge Miguel Cocom Pech. Conforme leas el poema, concéntrate en las emociones que te genere.
Entre oros y espejos
Ichil k’ank’antuúnil yéetel ich néeno’ob
A mi padre don Miguel Cocom Vivas
Jorge Miguel Cocom Pech.
No vengo a presencia la entrega de oros y jades,
a cambio del hechizo radiante del engaño.
Si quiero mirar mi rostro, ¡básteme lavarme la cara con el
agua de mis sueños ¡
Los sueños no mienten,
son el código fugaz de un torrente de vida.
Visitas esporádicas de imágenes y voces,
espectros que vuelven por las noches entre la
espesa lobreguez de la memoria
carcomida a diario por el olvido.
No, no vengo a presenciar la entrega del tributo
con las manos llenas de plumas y flores, que los
ojos vivos de mis arbustos y hierbas olorosas,
que la voluta de copal, la sarta de pétalos con perfume,
no la merecen tus manos ensangrentadas, ni tus
ojos que codician con morbo los muslos de mi tierra.
No, no vengo a presenciar la entrega de alhajas
y piedras preciosas.
Que el tesoro más estimado de un hombre, no está
en lo que muestran sus manos, sino en lo que
atesora su corazón dispuesto para otros
atuendo discreto de su virtud.
No, no vengo a presidir la entrega de mi patria,
a cambio de ídolos y cruces,
artificio de la astucia, invento para el atraco a
incautos y débiles de espíritu, a quienes dioses
y sacerdotes, ayer como hoy, la despojan de su
identidad originaria.
Vengo con el alma henchida de coraje, y entre esta
multitud de vasallos de la resignación, entenados
del miedo, hijos legítimos de la cobardía y la
servidumbre en todos los tiempos,
he aquí que mis manos se endurecen y mi señor Tlatoani,
alertan a los otros bolsillos de tu insaciable codicia.
Hoy y aquí, desde mi anónima presencia, una más entre otras,
Vengo dispuesto a resistir el espejismo de tus promesas,
armando con el baluarte de mis rodelas y mis cuchillos
de obsidiana escucho a tus pretensiones que se
esconden en la turbiedad de tu yelmo, y de tu toga
franciscana.
No, no puedo ser el embajador del cobarde que te
confunde con los dioses, deidades que nos prometieron
el retorno de sus calendarios y milagrerías,
mientras que, en ceremonias de sacrificio, aún con
el corazón tembloroso de los cautivos de guerra,
despiadado testimonio de atadura inútil a creencias,
ayer como hoy, se escribe con sangre, oros y espejos
el código opresor de la conquista que aún no termina.
Enternece en el fulgor de las estrellas.
Entre oros y espejos
(Poema)
Jorge Miguel Cocom Pech
https://www.unich.edu.mx/wp-content/uploads/2013/10/BMM_EntreOrosEspejos.pdf
Responde lo siguiente:
¿Qué te pareció el poema?
Escribe lo que sentiste al leer este poema.
Ahora, reflexiona en lo siguiente:
¿Por qué se dice que las tradiciones y cultura de los pueblos indígenas son parte de la identidad nacional?
El artículo 2o de la Constitución de México establece que “La Nación Mexicana es la única e indivisible”. Además, establece que: “La Nación tiene una composición pluricultural sustentada originalmente en sus pueblos indígenas que son aquellos que descienden de poblaciones que habitaban en el territorio actual del país al iniciarse la colonización y que conservan sus propias instituciones sociales, económicas, culturales y políticas, o parte de ellas.”
Desde fines del siglo pasado se reconoció que nuestro país es culturalmente diverso, debido a la convivencia de múltiples pueblos indígenas, con sus propias y diferentes formas de pensar, de vivir y de percibir el mundo.
De acuerdo con la propia Constitución, forman parte originaria de la población nacional y, en consecuencia, tienen derecho a ser reconocidos con identidad propia, con características propias y derechos que deben ser respetados por las autoridades gubernamentales y por toda la población mexicana.
Los pueblos indígenas son denominados como: pueblos originarios, debido a que son descendientes de las civilizaciones asentadas en lo que hoy es el territorio nacional, antes de la llegada de los españoles. Y son herederos de todo el conocimiento acumulado por milenios y trasmitido de generación en generación. De ahí la importancia de proteger y conservar las lenguas indígenas.
Te has preguntado, ¿cómo te puedes acercar a conocer lo que es la cultura de los pueblos indígenas de nuestro país?
Una de las primeras cosas que podrías hacer es, acercarte al término de Cultura.
El historiador Federico Navarrete ha escrito un pequeño libro sobre los pueblos indígenas de México que dice lo siguiente:
¿Qué idioma hablas en tu casa?
¿Qué tipo de trabajo realizan tus padres?
¿Qué tipo de comida almuerzas o cenas de cada día?
¿Cómo se visten tú y tus amigos?
¿Cómo celebras las fiestas importantes?
¿Cómo te curas cuando estás enfermo?
¿Qué cosas no debes hacer en tu casa, en tu escuela, con los mayores?
¿Cuáles son correctas?
¿Qué idea tienes del mundo y de tu papel como joven y como persona en él?
Seguramente tienes una respuesta para cada una de estas preguntas, pues todas las personas del mundo hablan una lengua y tienen una manera de ganarse la vida o producir sus alimentos, todas comen comida cocinada de cierta manera, todas se visten con cierto estilo, todas celebran y hacen fiestas a su modo y todas tienen ideas particulares sobre el mundo y lo que significa ser humano.
Esas costumbres y hábitos son las que forman la cultura que tienen los seres humanos. La cultura es la principal herramienta que se tiene para vivir en el mundo: gracias a ella se puede hablar, convivir, trabajar, festejar. La cultura nos enseña también lo que se sabe del mundo, determina los gustos e indica la manera correcta de comportarnos.
En general, la cultura que se tiene ha sido transmitida por nuestros padres, escuela, vecinos y amigos, en suma, por la comunidad de la cual formamos parte. Por ello, los seres humanos solemos vivir con gente que tiene la misma cultura que nosotros. Así nos sentimos cercanos a ellos y nos entendemos mejor.
La cultura que se comparte con la gente más cercana nos da una identidad común, es decir, un sentimiento de que somos parecidos entre nosotros. Sin embargo, también existen personas que hablan un idioma distinto, tienen otra ocupación, les parece sabrosa otra comida, se visten distinto, celebran otras fiestas y piensan de una manera diferente. Esto se debe a que los diferentes grupos humanos tienen culturas distintas.
Entonces, ¿la cultura nos ayuda a definir quiénes somos?
La cultura nos da una identidad y nos provee de formas de relacionarnos entre nosotros. Por ello, es tan importante conocer las diferentes culturas que habitan en nuestro país.
Junto con todo ello, un nuevo enfoque sobre la relación naturaleza sociedad, coloca a los pueblos indígenas, con sus conocimientos y sus tradiciones, en el centro de la conservación de la biodiversidad, a través de sus prácticas agrícolas actuales, de orígenes ancestrales.
El etnólogo del INAH, Eckart Boege, afirma que “los pueblos indígenas de México son clave para generar un nuevo modelo de sociedad, donde se intenta afrontar la crisis civilizatoria y ambiental a nivel mundial. Revisando la importancia biológica de los principales territorios indígenas, se estima que alcanzan entre 12 y 20 por ciento de las áreas del planeta bajo el manejo humano (…) La convivencia con la biodiversidad regional ha hecho que esas comunidades probaran, desecharan o desarrollaran el uso de plantas, insectos y animales como alimento, medicina, vestimenta, limpieza corporal o vivienda. Por esta razón, los pueblos indígenas y las comunidades locales han sido reconocidos como sujetos sociales centrales para la conservación y el desarrollo sustentable de la diversidad biológica”.
Ante las crisis ambientales que nos enfrentamos, muchas soluciones podrían estar en la sabiduría de nuestros ancestros.
Observa el siguiente video y pon mucha atención a lo que se explica sobre el patrimonio biocultural.
El patrimonio biocultural de los pueblos indígenas de México.
Ahora reflexiona en lo siguiente:
¿Cuál es la importancia que tienen los pueblos indígenas para México y el mundo?
El concepto de patrimonio biocultural explica la relación existente entre los saberes tradicionales para convivir de manera armónica con la tierra, que poseen los indígenas, convirtiendo a sus pueblos en los guardianes del patrimonio biológico y cultural, pero también son ellos quienes han hecho la selección, modificaciones y adaptaciones que han diversificado y enriquecido a la naturaleza, que sostiene y ha sostenido la vida humana.
Así de importantes son las comunidades indígenas. Los saberes milenarios de cada pueblo son trasmitidos de generación en generación, de forma oral. El cuidado, las técnicas y herramientas usadas para el disfrute de los productos de la tierra, están relacionados con rituales y ceremonias religiosas.
A su vez, estos rituales y ceremonias se rigen por el conocimiento ancestral de los ciclos lunares, del calendario solar, y un amplio conocimiento del comportamiento climático y temporal de cada región. Lo que les ha permitido enfrentar y adaptarse a las circunstancias que se les presentan año con año.
Los saberes, lenguas y hábitos propios de cada pueblo de origen ancestral, más las costumbres de grupos humanos provenientes de África y Asia –que llegaron durante y después de la conquista–, y las manifestaciones culturales y el idioma de quienes somos ahora resultado del mestizaje, es lo que le da el carácter pluricultural a nuestro país.
Pero no es suficiente reconocer que existen estas culturas milenarias. Se debe de transitar a un país que sea, en los hechos, intercultural, es decir, convertir a México en un país que incluye y fomenta la interacción, el respeto y el trato equitativo entre las diversas culturas.
Ahora, observa el siguiente video y conoce de propia voz lo que una mujer indígena Mixe dice sobre sus tradiciones y cultura.
El futuro de los Pueblos Indígenas en el México Intercultural.
Hay un sin número de personas pertenecientes a distintos pueblos indígenas que participan, desde sus respectivos campos, para lograr que el reconocimiento de los derechos de los pueblos indígenas sean una realidad.
El Reto de Hoy:
Realiza lo siguiente:
Escribe en tu cuaderno qué tradición de origen indígena conoces y descríbela.
Menciona si tu familia y tu comunidad celebran alguna festividad de tradición indígena y qué significado tiene.
FORMACION
Y si no soy ciudadana o ciudadano, entonces ¿qué soy?
Aprendizaje esperado: Argumenta sobre la vigencia de las libertades fundamentales como garantías de todo ciudadano y reconoce sus desafíos.
Énfasis: Reflexionar cómo ejercen las libertades fundamentales los adolescentes.
¿Qué vamos a aprender?
Indagarás acerca de lo que implica la ciudadanía, formar parte de una nación y ejercer la libertad de participar en los niveles local, regional, nacional e incluso, internacional. Asimismo, reconocerás el concepto de ciudadanía, que se refiere a la adquisición de una condición formal de obligaciones y derechos, cuando se tiene la mayoría de edad, según la Constitución Política de los Estados Unidos Mexicanos.
Además, reflexionarás acerca de algunas acciones que puedes emprender desde tu rol de adolescente para participar, de manera libre, en cualquier contexto donde te desenvuelves.
¿Qué hacemos?
Para comenzar, responde la siguiente pregunta:
Si tuvieras que expresar tu opinión acerca del concepto de “ciudadanía” y de ciudadana o ciudadano, ¿qué dirías?
Escríbelo en una hoja.
La ciudadanía significa participar de manera libre y activa en la vida de una comunidad; por ejemplo, cuando te piden apoyo para colaborar de manera altruista en la limpieza de las calles, pintar banquetas y topes; así como plantar árboles o arreglar las áreas verdes.
La ciudadanía significa participar o trabajar de manera organizada con otras personas para resolver problemas de la comunidad y realizar acciones que ayuden a vivir con dignidad.
Ciudadanía = participación y organización colectivas
En otras palabras, la condición de ciudadanía se relaciona con la participación y la organización colectiva.
Entonces, ¿se considera que la ciudadanía implica la participación?
Esta pregunta se relaciona mucho con lo que comentó Amanda, quien dice que “ser ciudadana significa que formas parte del pueblo”. En este sentido, los ciudadanos requieren participar activamente, no solo porque es un deber cívico o una responsabilidad hacia la comunidad, sino porque implica la organización, la colaboración y la unión de voluntades, así como de trabajo conjunto para alcanzar los cambios que necesita cada comunidad para contribuir al mejoramiento de la calidad de vida de todos los miembros de la sociedad.
Cuando se habla de ciudadanía, se pueden encontrar diferentes acepciones, por ejemplo, es el conjunto de prácticas, derechos y obligaciones que definen a una persona en una comunidad determinada.
Por su parte, la legislación señala que nos todos los habitantes de un Estado son considerados como ciudadanos, lo son únicamente aquellos que han cumplido los requisitos generales que la ley exige; por ejemplo, en México, tener 18 años. Y es a partir de esta edad, que el Estado acredita a las personas como miembros activos, lo que los habilita para ejercer sus derechos políticos, tales como participar en asuntos públicos, participar en las elecciones e incluso adherirse a un partido político.
Ser ciudadana o ciudadano significa formar parte del pueblo con todos sus habitantes.
Ahora, reflexiona sobre lo siguiente:
Si los adolescentes que cursan la secundaria no han cumplido 18 años, ¿entonces qué son?
El término ciudadanía tiene múltiples significados. Se puede definir como una forma colectiva de pertenencia a una comunidad, en la que un individuo se integra a las prácticas sociales y culturales ejerciendo sus derechos humanos; por tal motivo, pueden participar en ella de diferentes formas, para tener una vida digna, sin necesidad de haber adquirido la mayoría de edad.
Los adolescentes, en tanto seres humanos, son parte de la ciudadanía, en el sentido de ser escuchados, participar activamente, opinar sobre los asuntos que les competen y en el ejercicio de los derechos civiles, como la libertad de expresión, el derecho a la protección de la integridad física y mental, y el derecho a la vida; sin importar si son nacionales o extranjeros, mayores o menores de edad.
De acuerdo con lo anterior, “ciudadanía es participar por todos los medios”. De este modo, tú puedes participar en diferentes proyectos de tu comunidad y en aquellas acciones que te permitan ejercer las libertades fundamentales, conforme lo establece, por ejemplo, la Ley General de Derechos de las Niñas, Niños y Adolescentes.
http://www.diputados.gob.mx/LeyesBiblio/index.htm
Las acciones que emprendas, por sencillas que parezcan, te permitirán enriquecer tus vivencias y te servirán como aprendizaje para ejercer a plenitud tus derechos ciudadanos al cumplir 18 años.
A continuación, reflexiona si tomaste en cuenta algunas de las palabras que se comentaron y realiza los agregados que consideres pertinentes para explicar qué significa ciudadanía y qué es ser ciudadano o ciudadana.
La ciudadanía promueve el ejercicio de los derechos políticos, pero hasta que cumples 18 años.
Según la Constitución Política de los Estados Unidos Mexicanos, en su artículo 34, señala que “Son ciudadanos de la república los varones y mujeres que, teniendo la calidad de mexicanos, reúnan, además los Siguientes requisitos:
I.- Haber cumplido 18 años y
II.- Tener un modo honesto de vivir
Esto se conoce como ciudadanía formal, cuando puedes ejercer derechos políticos como los que se mencionaron anteriormente.
De acuerdo con lo que se establece en nuestras leyes, las personas adquieren la ciudadanía formal cuando cumplen 18 años; es por ello que, en estricto sentido, se hacen acreedores de los derechos y obligaciones estipulados en la máxima normativa, que es la Constitución.
Entre sus obligaciones principales, se encuentran el trámite de la credencial electoral para votar y elegir a sus representantes.
Entonces, la ciudadanía implica hacer valer los derechos que se señalan en el artículo 35 Constitucional que, entre otras cosas, menciona votar en elecciones populares, asociarse libre e individualmente; así como las obligaciones enmarcadas en el artículo 36 Constitucional.
Las y los ciudadanos pueden colaborar en:
La supervisión del trabajo del gobierno y la exigencia de rendición de cuentas.
La participación en consultas organizadas por el Estado.
La organización de las elecciones.
El diagnóstico de los problemas y necesidades de la comunidad.
La difusión y la promoción de la cultura cívica y el respeto a los derechos humanos.
La presentación de iniciativas ciudadanas para proteger derechos.
Ahora, presta mucha atención a lo que señala Carlos en las redes sociales, que vive en Yucatán:
¿Entonces, nosotros como adolescentes, qué papel jugamos si aún no cumplimos 18 años?
¿Qué le contestarías a Carlos a partir de lo que aprendiste?
Escribe algunas líneas en tu cuaderno.
Como puedes observar y escuchar, todos y todas en tanto ciudadanos, tenemos la enorme tarea de colaborar para ayudar a la construcción social. Como adolescente, puedes participar en las consultas del Instituto Nacional Electoral y otras instituciones para dar a conocer tu opinión.
También puedes comentar sobre las cosas que le desagradan a tu comunidad y participar en proyectos que permitan mejorar el lugar donde vives. Puedes participar en la revisión del reglamento escolar, para verificar que sea inclusivo y que se respete la dignidad de todos.
Para comprender más sobre este tema, y que puedas analizar tus respuestas, observa el siguiente video. Recuerda realizar algún recurso gráfico como mapa mental, cuadro sinóptico o infografía para recuperar conceptos como participación, democracia, entre otros.
La vida ciudadana y el derecho a la participación.
En el video anterior, se habla sobre una concepción más amplia de participación, que confiere el hecho de tomar parte o compartir. Implica la toma de decisiones, considerando los intereses personales y de grupo, pero también se relaciona con la libertad que se tiene de hacerlo.
Participar, es un acto social de voluntad individual, a favor de una acción colectiva, en una circunstancia específica.
Existen diferentes niveles de participación. Se puede participar, incluso previamente a la adquisición de la ciudadanía formal; pero, según la normativa vigente en nuestro país, no se es ciudadano hasta que se cumplen 18 años.
Vale la pena recordar que la libertad es un derecho humano y que existen diferentes formas de ejercerlo.
Dimensiones de la participación ciudadana.
La dimensión política, se relaciona particularmente con la vida pública y la toma de decisiones. Aquí se incluye el voto y la elección de representantes.
La dimensión política, consiste en la toma de decisiones cuando se adquiere la ciudadanía formal, como el hecho de votar para elegir representantes.
La dimensión civil, consiste en el uso de mecanismos para defender nuestros derechos, como presentar una queja ante la CNDH cuando se te discrimina o se afecta tu dignidad.
La dimensión social implica trabajar de manera colaborativa con los otros, para generar proyectos que permitan mejorar el ligar donde vivo. Por ejemplo, campañas de reforestación.
La aplicación real de una vida democrática depende, en gran medida del nivel de participación de los integrantes de la sociedad.
Entonces, desde tu rol como adolescente puedes:
Informarte acerca de las consultas que plantea el Instituto Federal Electoral como la Consulta Infantil y Juvenil y participar para compartir sus opiniones sobre situaciones que tienen que ver con la vida cotidiana.
Organizarte para crear proyectos comunitarios o escolares para atender las necesidades y problemas colectivos.
Observar las necesidades que existen en los diferentes contextos de los que formas parte: escuela, hogar y comunidad, para hacer visibles los problemas o necesidades que nos atañen.
De acuerdo con lo anterior, hay diversos ámbitos en los que tú puedes participar en tu comunidad, como parte de la ciudadanía.
Todos podemos colaborar según lo que esté en nuestras posibilidades, porque el beneficio es colectivo.
Puedes “ejercer la ciudadanía”, lo que te permitirá participar en forma activa en diversos proyectos y actividades antes de cumplir la mayoría de edad.
Recuerda compartir lo que aprendiste con las personas que te rodean, para que todas y todos aprendamos a participar libremente para favorecer el bienestar colectivo.
El Reto de Hoy:
Reflexiona sobre cómo ejercer la libertad de participación ciudadana desde el rol de los adolescentes y responde:
¿Cómo ejercer la ciudadanía siendo adolescente?
TECNOLOGIA
La técnica, las necesidades y el entorno
Aprendizaje esperado: Compara las finalidades de las ciencias y de la tecnología para establecer sus diferencias.
Énfasis: Reconocer la relación entre las necesidades, técnica y el entorno.
¿Qué vamos a aprender?
Conocerás las relaciones que hay entre la técnica, las necesidades y el entorno. Además, reconocerás cómo el ser humano desarrolla técnicas y productos para satisfacer sus necesidades primordiales.
¿Qué hacemos?
Desde el origen de las sociedades, el ser humano ha creado técnicas y productos para satisfacer sus necesidades. La caza, la pesca, la recolección de frutas y semillas, fueron sus principales actividades para alimentar a las familias de la prehistoria, las pieles de los animales sirvieron para confeccionar prendas que los protegían de las inclemencias del clima.
En un principio, las cavernas ofrecieron refugio y protección a los nómadas, pero al establecerse en ciertos lugares, construyeron diversos tipos de vivienda, lo que les permitió tener un espacio para la convivencia y el descanso.
Los sistemas constructivos y forma de las viviendas estuvieron condicionados por el medio geográfico y los materiales disponibles. Por ejemplo, en lugares de frío extremo se construyeron cabañas de madera o iglús, como en el caso de los esquimales de Alaska.
En ciertas regiones de África se edificaron chozas de adobe y palma debido a las temperaturas extremas. Y en algunos países tropicales de lluvias extremas, se construyeron palafitos, que son viviendas de madera construidas sobre el cauce de ríos, lagos y manglares.
Entonces, se puede decir que, las necesidades básicas de la sociedad son: la alimentación, el vestido y la vivienda.
Para poder satisfacer esas necesidades, la humanidad ha intervenido y modificado el entorno, para ello ha tenido que reflexionar acerca de la relación que existe entre su necesidad y el entorno, ya que este le provee de medios para la satisfacción de sus necesidades básicas y también las creadas.
Nuestra vida contemporánea exige cubrir otras necesidades como el trabajo, momentos para la recreación y el esparcimiento, el cuidado de la salud, espacios para la educación, servicios de comunicación, transporte, seguridad, entre otras.
Es fascinante notar como la tecnología tiene que crear un sinfín de medios técnicos para cubrir las necesidades del ser humano.
Nuestras necesidades nos hacen reflexionar para encontrar soluciones a diversos problemas que se nos presentan, el entorno impone retos y la técnica busca soluciones.
Un ejemplo significativo es la construcción de las pirámides en Egipto.
En este país de África, los arquitectos tuvieron grandes interrogantes en los sistemas de construcción, como fue llevar al lugar enormes bloques de piedra y colocarlas a grandes alturas.
En la actualidad sigue siendo un misterio todo ello: las herramientas, las máquinas y técnicas que emplearon para edificar las imponentes pirámides y monumentos como la esfinge.
Sin duda alguna, el rio Nilo fue un elemento natural del entorno que favoreció el asentamiento humano y la construcción de templos a lo largo de su cauce.
Como te habrás dado cuenta, el ser humano satisface sus necesidades a través de la técnica y el entorno, además de representar un reto para la técnica que la provee de los recursos necesarios.
Los conocimientos provenientes de las ciencias sociales y naturales resultan muy útiles para la técnica, ya que esta requiere conocer las características, tanto sociales como naturales para comprender la forma de satisfacer una necesidad.
Como ejemplos de las ciencias naturales, se tiene a la biología, la física y la química; por su parte la geografía, la historia y la antropología, son áreas del conocimiento que representan a las ciencias sociales.
Recuerda: un mapa conceptual es un esquema que explica un tema mediante palabras o conceptos que están relacionados con el contenido.
Estas palabras se escriben dentro de rectángulos o alguna otra forma, unidos por líneas que le dan orden y sentido a la información y sobre ellas se describen palabras llamadas conectores, que le dan fluidez y coherencia a la lectura.
Este mapa conceptual, explica que el humano satisface las necesidades de su entorno por medio de la tecnología.
En la actualidad, las investigaciones de las ciencias sociales y de las ciencias naturales han permitido comprender mejor la interacción entre las necesidades sociales, la forma de satisfacerlas y las implicaciones de la intervención técnica en el entorno. Esto ha llevado a la tecnología a innovar técnicas en los procesos y productos.
En nuestro entorno cotidiano, es muy fácil reconocer la relación que existe entre las necesidades sociales y el medio natural con la técnica.
Quizá has visto en un noticiario matutino el reporte del tiempo en donde informan si el día será lluvioso o cálido, y los grados de temperatura que alcanzará ese día.
Observa el siguiente video.
El pronóstico del tiempo.
https://youtu.be/mnguPFBvkUU
Para conocer estos datos, el centro meteorológico equipado con aparatos e instrumentos especializados, se encargan de medir y vigilar las condiciones del clima. Estos aparatos son producto de la técnica y se utilizan para registrar y medir las condiciones climáticas, gracias a la información suministrada por un satélite meteorológico.
¿Qué relación existe entre el registro del clima y el centro meteorológico?
Con esta información se elabora un reporte para darla a conocer a la población a través de la radio, la televisión, los periódicos y el internet.
Hay que notar que también intervienen en este proceso antenas, computadoras, emisores y receptores de señales que se encargan de trasmitir la información; así se tiene una idea de cómo vestir, calcular el tiempo de llegar a cierto destino, qué transporte o ruta tomar, e incluso, las actividades que se pueden realizar de acuerdo con los niveles de contaminación en la vida diaria.
Lo anterior, ha provocado que haya una relación estrecha entre las ciencias sociales y naturales con la tecnología.
Una de las ciencias que ha manifestado un desarrollo y del que se espera muchos más, es la Biotecnología.
La Biotecnología, es una ciencia multidisciplinaria que integra los conocimientos de tecnología y las ciencias en beneficio de la sociedad, creando importantes aportes en los ramos de la salud, alimentación y en general en la vida de los seres humanos.
La biotecnología molecular se ha incorporado en la agricultura para aumentar el rendimiento de las cosechas, mejorar la resistencia de los cultivos a las plagas y a la capacidad de prosperar en un ambiente hostil.
Otras actividades propias de esta ciencia son: el cultivo de células para formar tejidos y órganos, la generación de medicina adecuadas para cada paciente, la implementación de nuevas técnicas en la conservación de alimentos, la prevención, detección y corrección de enfermedades hereditarias; desarrollo de implantes, prótesis y microchips para personas con capacidades diferentes, así como la reproducción asistida.
¿En el caso de la biotecnología, qué aportaciones está haciendo nuestro país para mejorar la calidad de vida de la sociedad?
En México hay una gran tradición biotecnológica. Es líder en la producción de anti venenos. Gracias a sus estudios, cada año, evita la muerte de aproximadamente 500,000 personas que reciben la ponzoña de arañas, alacranes o serpientes. Los anti venenos mexicanos son mejores que los estadounidenses y más de mil dosis diarias de anti veneno se aplican en el mundo.
México desarrolla tres anti venenos y los exporta a siete países. Para serpientes de África del Sur, otro para serpientes del Norte de África y Medio Oriente, y el tercero para el alacrán de Chay Argelia.
Hay planes para proveer anti veneno a Turquía, Irán e Irak y Asia.
¿Por qué han sido tan exitosos?
Su efectividad es de las mayores que puedes encontrar en el mundo. Está definida por la cantidad de veneno que neutraliza de diferentes especies y en ningún lugar del mundo son tan potentes como aquí.
Son secos, lo que evita su refrigeración y sólo es necesario agregarles agua destilada para inyectar la sustancia, vía cutánea. No provocan alergia y nadie se ha muerto por una reacción. Sirven para humanos y animales.
Por lo tanto, se puede decir que, la tecnología satisface las necesidades sociales en un entorno determinado a través de procesos técnicos.
El Reto de Hoy:
Escribe las siguientes preguntas en tu cuaderno, contesta y comenta con tu familia.
¿Cómo afecta en tu vida normal el pronóstico del tiempo?
¿Qué importancia tiene la ciencia y la tecnología en tu calidad de vida?
Tómate tu tiempo de pensar en tus respuestas. Registra todas las que se te ocurran y enriquece tu curiosidad con lo que otras personas te compartan al respecto.
Soy Viviana y escribo en este blog desde el 2005. Mamá de Sofía (2005) y Maia (2010). Doula certificada, Social Media Mom, Escritora Freelance & WAHM.



Leave a comment